医療用樹脂組成物及びその製造方法並びに医療用キット

ライセンス

特許第5700339
価格については「出品者にお問い合わせ」をクリックしてご相談ください。
出品中

案件情報

特許権
ジャンル:
金属・材料
登録番号:
特許第5700339
共通項目
希望取引:
  • ライセンス
  • 相談可
権利者:
国立大学法人岡山大学

説明

目的

技術概要

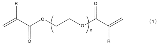
この医療用樹脂組成物は、重合体(A)、単量体(B)及び重合開始剤(C)を含有する医療用樹脂組成物であって、重合体(A)が、メチルメタクリレート単位を70重量%以上含有し、単量体(B)が、式(1)[式中、Rは、メチル基又は水素原子を示す。nは2~4の整数である。]で表される化合物(b1)を70重量%以上含有する。このとき、重合体(A)100重量部に対して単量体(B)30~100重量部を含有することが好適である。この医療用樹脂組成物は、重合体(A)の粉剤と、単量体(B)の液剤とを、重合開始剤(C)の存在下で混合して増粘させる事によって得られる。このとき、重合体(A)が予め重合開始剤(C)を含有していることが好ましい。この医療用樹脂組成物は、特に、歯科用樹脂組成物として好適であり、具体的には、歯科用樹脂組成物を硬化させてなる義歯床又はマウスピースが好適な実施態様である。また、医療用樹脂組成物からなる骨セメントも好適な実施態様である。更に、メチルメタクリレート単位を70重量%以上含有する重合体(A)の粉剤と、式(1)で表される化合物(b1)を70重量%以上含有する単量体(B)の液剤、とからなり、粉剤又は液剤の少なくとも一方が重合開始剤(C)を含有する、医療用キットが提供される。

こちらにも興味があるかもしれません
  • ベストセラー
  • 人気の案件
  • Recently Viewed
車両用警報制御システム
特許第4642688
価格については「出品者にお問い合わせ」をクリックしてご相談ください。
価格については「出品者にお問い合わせ」をクリックしてご相談ください。
緑化屋根工法 メタルグリーンルーフ
特許番号6723408号
価格については「出品者にお問い合わせ」をクリックしてご相談ください。
価格については「出品者にお問い合わせ」をクリックしてご相談ください。
荷役用パレット
日本 特許第6150152号  中国 専利号 ZL 2017 1 0608852.2  香港 専利編号 HK1244765  
価格については「出品者にお問い合わせ」をクリックしてご相談ください。