演算方法及び演算装置

ライセンス

特許第5147085
価格については「出品者にお問い合わせ」をクリックしてご相談ください。
出品中

案件情報

特許権
ジャンル:
その他
登録番号:
特許第5147085
共通項目
希望取引:
  • ライセンス
  • 相談可
権利者:
国立大学法人岡山大学

説明

目的

べき乗算やスラカー倍算などからなる演算を高速で実行可能な演算方法及び演算装置を提供する。

技術概要

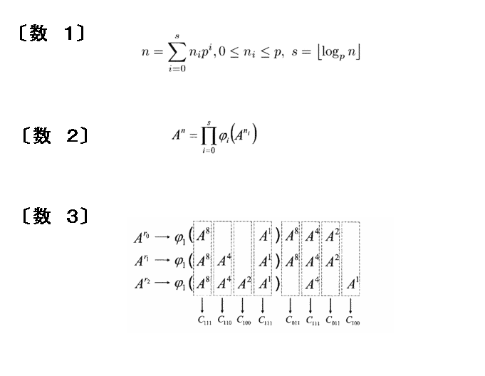
このべき乗算の演算方法では、標数p、拡大次数mの拡大体F↓p↑mの元Aのべき乗算A↑nを、指数部nのp進数表現である数1を用いて、フロベニウス写像により数2と表されるべき乗算の演算方法において、指数部nのpの所定次数の項と、この項の次数よりも一次だけ高次の項または一次以上高次の複数の項とを1組として、指数部nを複数の組に分けるとともに、各組内における各項を最低次数でくくってこの最低次数の係数を特定し、この係数をp進数表示として係数による元Aのべき乗算が行われた場合の各組での同一の桁に値が存在しているか否かを示す指標を有する数3のテンポラリデータを桁ごとに設定するステップと、テンポラリデータの値を、このテンポラリデータで値が存在しているとされた桁における乗数を用いて特定するステップと、所定の前記テンポラリデータどうしを乗算した結果を、各組の係数でのべき乗算の結果とするステップを有することとした。これにより、べき乗算の演算を高速に行うことができる。

こちらにも興味があるかもしれません
  • ベストセラー
  • 人気の案件
  • Recently Viewed
車両用警報制御システム
特許第4642688
価格については「出品者にお問い合わせ」をクリックしてご相談ください。
価格については「出品者にお問い合わせ」をクリックしてご相談ください。
緑化屋根工法 メタルグリーンルーフ
特許番号6723408号
価格については「出品者にお問い合わせ」をクリックしてご相談ください。
価格については「出品者にお問い合わせ」をクリックしてご相談ください。
荷役用パレット
日本 特許第6150152号  中国 専利号 ZL 2017 1 0608852.2  香港 専利編号 HK1244765  
価格については「出品者にお問い合わせ」をクリックしてご相談ください。